Einsatz- vs. Mehrsatztraining im Krafttraining: Was ist effektiver?
Von: Marc Streitenbürger, ASVZ-Trainingsleiter sowie Leiter Athletik Training bei Turicum Athletics;
Koproduktion: Silvana Ulber, Leiterin Kommunikation ASVZ
Der Erfolg beim Krafttraining ist zu einem grossen Teil von der sinnvollen Dosierung von Volumen und Intensität abhängig. Was aber macht stärker, einerseits in Bezug auf das Ausführen expliziter Kraftübungen, andererseits betreffend Muskelzuwachs im Allgemeinen – das Einsatztraining oder die Mehrsätzer? Regelmässig gibt es neue Studien zu den effektivsten Satz- und Wiederholungsschemata. Wir schaffen in diesem Blog-Beitrag Klarheit.
Dabei beschränken wir uns darauf, inwiefern das Krafttraining die Muskelquerschnittszunahme (Hypertrophie) und/oder den Kraftzuwachs beeinflusst. Was wir im Gegensatz zum letzten Blog-Beitrag zur Trainingslehre «Freie Gewichte vs. Geführte Geräte» nachfolgend ausklammern, ist der Übertrag bzw. der Nutzen von Einsatz- vs. Mehrsatztraining auf das Ausüben anderer Sportarten oder die Leistungsfähigkeit in Alltagsbewegungen.
Zur Zunahme des Muskelquerschnitts und/oder zum Kraftzuwachs führen verschiedene physiologische Mechanismen. Bevor wir der Frage nach dem «besseren» Trainingsschema auf den Grund gehen, möchten wir an dieser Stelle zuerst das Grundlagenwissen dazu festigen. Wir beziehen uns dabei der Einfachheit halber vorwiegend auf die Auswirkungen auf den Muskelquerschnitt. Zwar korreliert dieser in gewissem Masse mit dem Kraftzuwachs, trotzdem trägt nicht jedes Trainingsschema gleich stark zur Verbesserung der beiden Parameter bei. Nach den Grundlagen nehmen wir wieder Bezug auf beide Parameter.
Grundlage: Mechanische Spannung auf den Muskel aufbauen
In den vergangenen Jahren hat sich in der Literatur herauskristallisiert, dass vor allem zwei Mechanismen zur Zunahme des Muskelquerschnitts führen. Es ist zum einen die mechanische Spannung (die auf die Muskelfaser einwirkt), zum anderen die metabolische Belastung des Muskels. Die Erkenntnisse tendieren dazu, dass die mechanische Spannung dabei den Hauptstimulus darstellt und die metabolische Belastung nur indirekt über die Triggerung vermehrter motorischer Einheiten bzw. Muskelfasern zur Muskelquerschnittszunahme beiträgt. Damit können wir davon ausgehen, dass im Muskel ein bestimmtes Mass an mechanischer Spannung auf die Muskelfasern einwirken muss, damit es zur Muskelquerschnittszunahme kommt. Setzen können wir diesen mechanischen Reiz auf den Muskelfasern, die an der entsprechenden Bewegungsausführung beteiligt sind, entweder mit tendenziell hohen Gewichten (85%< des maximalen Gewichts) oder mit leichteren Gewichten, dann müssen wir jedoch bis zum Muskelversagen trainieren.
Ob nun mit hohen Gewichten (nicht notwendigerweise bis zum Muskelversagen) oder mit tieferen Gewichten bis zum Muskelversagen trainiert wird – die tatsächlich stimulierenden Wiederholungen sind die letzten 5 vor dem Muskelversagen. Bei diesen Wiederholungen sind die Muskelfasern aktiv und der Muskel verkürzt sich langsam genug, damit genug muskuläre Spannung generiert wird. So kommt es zur Muskelquerschnittszunahme. Entscheidend für die Zunahme ist also, dass während einer bestimmten Zeitdauer möglichst viele Muskelfasern mechanischer Spannung ausgesetzt sind. Die Zeitdauer dieses Reizes ist beim Einsatz-Training jedoch nicht sehr lang. Spricht damit also einiges fürs Mehrsatztraining, wenn wir Muskeln aufbauen wollen?
Entscheidend ist Spannungsdauer auf dem Muskel
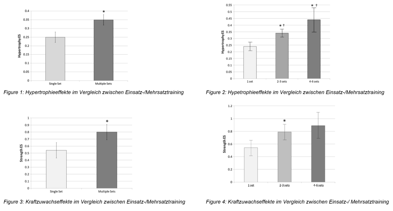
Krieger (2009) und Krieger (2010) hat jeweils eine Meta-Analyse betreffend Einsatz- vs. Mehrsatztraining und ihre Wirkung bezüglich Kraftzuwachs (Krieger, 2009) und Muskelquerschnittzunahme (Krieger, 2010) vorgenommen. Wie in Abb. 1-4 ersichtlich ist, zeigen Mehrsätzer im Vergleich zu Einsätzern klar bessere Ergebnisse auf. Dies in Bezug auf beide Parameter (Muskelfaserquerschnitt und Kraftzuwachs). Das Absolvieren von 2-3 Sätzen einer Kraftübung führten im Vergleich zum Einsätzer zu einem 46 % grösseren Kraftzuwachs (Krieger, 2009). Dabei wurde zudem beobachtet, dass 4-6 Sätze noch effektiver waren, als 2-3 Sätze. Dies jedoch nicht in demselben Verhältnis, wie der Vergleich von 2-3 Sätzen zum Einsätzer.
Offensichtlich hat diese Beobachtung aber einen Haken. Denn wie oben dargelegt, benötigen die Muskelfasern eine bestimmte Spannungsdauer, damit sie sich anpassen. Je mehr Sätze ausgeführt werden, desto länger ist die Spannungsdauer und desto besser werden die Anpassungen. Die geleistete Arbeit und die akkumulierte Spannungsdauer unterscheiden sich so stark, dass ein direkter Vergleich zwischen Einsatz- und Mehrsatztraining nicht möglich ist. Verständlicherweise kommt es nämlich darauf an, wie die Belastung über die ganze Trainingseinheit und dann auch über einen ganzen Trainingszyklus ist. Jemand, der nur 1 Satz pro Übung ausführt, kann während einem Training, das gleich lange dauert, mehr Übungen ausführen, als jemand, der/die von einer Übung mehrere Sätze ausführt.
Wenn die Spannungsdauer während hoher Muskelfaserrekrutierung (= möglichst viele Muskelfasern werden beansprucht) bei beiden Satzschemas über ein ganzes Training gleich ist, dann kann davon ausgegangen werden, dass beide Schemas den Muskelfaserquerschnitt in einem ähnlichen Masse stimulieren. Konkret heisst das: Wenn eine Person für eine ähnliche Zielmuskulatur 3 Übungen mit 3 Sätzen ausführt und die andere Person nur 1 Satz, dafür 9 verschiedene Übungen, dann kann von einem ähnlichen Stimulus für den Muskelfaserquerschnitt ausgegangen werden.
Der Reiz auf den Muskelfaserquerschnitt einer Zielmuskulatur entsteht dann, wenn während einer Einheit im Bereich von 75-90 Sekunden ein Mindestmass an mechanischer Spannung auf die Muskelfasern wirken. Dabei ist wie oben beschrieben vor allem die Spannungsdauer der letzten 5 Wiederholungen entscheidend. So sind 1 Mal 15 Wiederholungen weniger effektiv als 3 Mal 5 Wiederholungen, bei denen jeweils bis zum Muskelversagen trainiert wird.
Zurück zum Anfang und der Frage, was stärker macht. Hierbei kommt es auf das Ziel des Trainierenden an. Wenn jemand zum Ziel hat, in einer oder mehreren Kraftübungen besonders stark zu werden, dann sind mehrere Sätze einer Übung empfehlenswert. Damit wird er/sie besser in der Bewegungsausführung und es werden zusätzlich genau jene Muskelfasern hypertrophieren, welche bei dieser Übung am wichtigsten sind. Ist jemand aber vor allem an einem vielfältigen Krafttraining oder hauptsächlich am Muskelzuwachs interessiert, dann ist das Ausführen von wenigen Sätzen pro Übung mit grösserer Übungsanzahl zielführender.
Take Home Message
- Um einen Reiz auf den Muskelfaserquerschnitt zu setzen, wird eine muskuläre Spannungsdauer (der Zielmuskulatur) von 75-90 Sekunden benötigt.
- Diese Spannungsdauer sollte bei hoher Muskelfaserrekrutierung (letzte 5 Wiederholungen) auftreten, egal ob Einsatz- oder Mehrsatztraining.
- Entweder kann das mit tieferen Gewichten bis zum Muskelversagen oder mit hohen Gewichten erreicht werden.
- Wenn die Höhe der mechanischen Spannung und die Spannungsdauer für die Zielmuskulatur gleich ist (indem beim Einsatztraining mehr unterschiedliche Übungen durchgeführt werden), sind beide «Trainingsarten» betreffend Muskelfaserquerschnitt ähnlich effektiv.
- Wenn die Leistungsfähigkeit bei bestimmten Kraftübungen im Vordergrund steht, sind mehrere Sätze empfehlenswert.
- Wenn ein vielfältiges Krafttraining oder der Muskelzuwachs im Zentrum steht, ist das Ausführen von weniger Sätzen pro Übung bei einer erhöhten Übungsanzahl pro Training eine sinnvolle Vorgehensweise.
Diese Blog-Beiträge könnten dich auch interessieren
- Krafttraining: Freie Gewichte vs. Geräte und wann man sie auch kombinieren kann
- Krafttraining: Freie Gewichte vs. Geräte und weshalb dicke Muskeln keinen Nutzen haben
- Die 5 wichtigsten Punkte beim Ausführen einer Kniebeuge
- Tiefe Kniebeugen sind ungesund für das Kniegelenk. Mythos oder Wahrheit?
- Über Kniebeugen und den Mythos, dass die Knie dabei nicht über die Zehenspitzen ragen sollen
- HIIT-Training vs. Dauermethode: Welche Trainingsform bringt’s?
- HIIT-Training: Weshalb das Intensitätsempfinden dabei nicht entscheidend ist
- Warum Schmerzen und das Ausmass der Verletzung nur selten korrelieren
- Warum Dehnungsschmerz nichts mit verkürzten Muskeln zu tun hat
- Mit Ruhe und Erholung zur Leistungssteigerung
- Barfuss-Training - Die Schuhe an den Nagel hängen?
- Warum Radfahren und Schwimmen nicht gut für die Gelenke ist
- Phänomen Muskelkater
- Training auf instabilem Untergrund
- Verletzungsfrei Dank Bewegungsvorbereitung
Literatur zum Text
Krieger, J. W. (2009). Single versus multiple sets of resistance exercise: a meta-regression. The Journal of Strength & Conditioning Research, 23(6), 1890-1901.
Krieger, J. W. (2010). Single vs. multiple sets of resistance exercise for muscle hypertrophy: a meta-analysis. The Journal of Strength & Conditioning Research, 24(4), 1150-1159.